Modeling drying kinetics of Peruvian yellow potatoes(Solanum gonyocalix)

Modelación de la cinética de secado de papa amarilla Peruana (Solanum gonyocalix)


DOI: https://doi.org/10.23850/24220582.349

Rocío Alicia Valdivia Arrunategui1; Gabriela Cristina Chire Fajardo2; Walter Francisco Salas Valerio3

1 Universidad Nacional Agraria La Molina, Perú.rovalar8@gmail.com
2Universidad Nacional Agraria La Molina, Perú gchire@lamolina.edu.pe
3Universidad Nacional Agraria La Molina, Perú wfsalas@lamolina.edu.pe

Recibo: 25.08.2016 Aceptado: 09.05.2017

Cite this paper as following

Valdivia, R., Chire, G. & Salas, F. (2017). Modeling drying kinetics of Peruvian yellow potatoes (Solanum gonyocalix). Rev. Colomb. Investig. Agroindustriales, 4(1), 39-47. DOI: https://doi.org/10.23850/24220582.349

ABSTRACT

The aim of this research was to model dry kinetics of potatoes (Solanum gonyocalix), variety Amarilla Tumbay from Peru, using a tunnel dryer. Potatoes slices of 0.5 cm thickness were used in a drying experiment at different temperatures (60, 70 and 80 °C) and air speed (4.9, 6.7 and 8.3 m/s). The equipment used allowed recording of the sample gross mass at real time. A factorial design in CRD with two repetitions was used. To determine significant differences between levels the LSD method was used. The results showed drying speeds; a very short constant and a falling rate period. For the marked decreasing speed, which could be modeled by Fick's law of diffusion, the used equations were adequate for a proper description of the process. Temperature dependence of moisture diffusion followed Arrhenius equation type (R2 = 0.995): moisture diffusion and activation energy were Do = 0.81x10-9 m2/s and Ea = 4.81 kJ/mol respectively.

Keywords:Activation energy; Fick's law of diffusion; potatoes moisture diffusivity; temperature affect drying; tunnel dryer; peruvian potatoes.

RESUMEN

El objetivo de este trabajo fue modelar la cinética de secado de papas (Solanum gonyocalix) de la variedad Amarilla Tumbay del Perú en un secador de túnel por aire caliente de laboratorio. Las papas con un espesor de 0,5 cm en formas rectangulares fueron usadas en los experimentos de secado con diferentes temperaturas (60, 70 y 80 ºC) y velocidad de aire (4,9, 6,7 y 8,3 m/s). El equipo usado durante el experimento permitió registrar el peso de la masa de la muestra en tiempo real. Se aplicó un arreglo factorial en un DCA con dos repeticiones. Se aplicó el método DMS para determinar diferencias significativas entre los niveles. Los resultados muestran velocidades de secado; un periodo muy corto constante y otro decreciente. El periodo decreciente, muy marcado, se ajusta a la ley difusional de Fick, demostrando que las ecuaciones empleadas fueron adecuadas para la propia descripción del proceso. La temperatura dependiente de la difusividad de la humedad ha sido considerada del tipo Arrhenius (R2 = 0,995), cuyas difusividad de la humedad y la energía de activación fueron: Do = 0,81x10-9 m2/s y Ea = 4,81 kJ/mol respectivamente..

Palabras clave: Difusividad de la humedad de papas; energía de activación; ley difusional de Fick; papa peruana; secador de bandejas; temperatura afecta el secado.

INTRODUCTION

Nowadays, drying with hot air is the most commonly used method in the food agroindustry. This drying process shows two periods in drying speeds. The first one has a constant speed, while the second one has a decreasing speed, which is a falling rate period this follows Fick's law of diffusion. It is the result of internal resistances (Onwude et al., 2016; Fan, Chen, He & Yan, 2015).

Yellow potatoes (Solanum goniocalix) is a native species from Perú. The variety Amarilla Tumbay potatoes, is very good for boiling and steaming and makes a very good yellow purée (Gómez & Roca, 2008). It has an excellent culinary and nutritive quality and it has a double economic value compared to the standard white potatoes (Egusquiza, 2014). The temperature level during drying has a direct effect on its drying speed and as a consequence a shorter drying time in the machine at higher temperature (Maldonado & Pacheco-Delahaye, 2003; Carranza & Sánchez, 2002; Vega, Andres & Fito, 2005; Vega & Lemus, 2006). Although a high drying temperature results in a high performance, there is also another consideration to be taken into account, such as an eventually color change during the heating process (Hamipour, Hadji Kazemi, Nooralivand & Nozarpoor, 2007; Barrena, Marcelo & Gamarra, 2009; Benali, 2012).

Generally, the influence of drying temperature on water diffusion in food follows the Arrhenius equation of which Ln D with 1/T is the linear segment; the point of origin the Arrhenius factor, the initial diffusivity Do and the slope the activation energy Ea (Vega et al., 2005). The value of Do indicates the resistance to diffusion (Vega et al., 2005).

Drying is a common process in the agro-food industry. Fan et al. (2015) studied the kinetics of drying sweet potatoes slices at temperatures of 50, 60, 70 and 90 °C and thickness of 0.3, 0.4, 0.6 and 0.8 cm and found a moisture diffusivity of 3.66x10-10 to 2.11x10-9 m2/s. Also Aghbashlo, Hossien Kianmehr & Arabhosseini (2009) dried potatoes slices with hot air at 50, 60 and 70 °C and an air speed of 0.5, 1.0 and 1.5 m/s and found a water diffusion coefficient between 3.17x10-7 m2/s and 15.45x10-7 m2/s.

The activation energy is the energy barrier that must be overcomed in order to activate moisture diffusion (Hii, Law & Cloke, 2009). For some examples described above the Ea values before are 13.48 to 16.50 kJ/mol for sweet potatoes slices from China and 39.49 to 42.34 kJ/mol for potatoes slices from Iran.

Modeling of drying kinetics of food products is important to optimize the design of equipment and product quality (Onwude et al., 2016). A good mathematical model of the drying process is considered as an efficient tool to save product damage, excessive energy consumption, equipment waste or lower performance (Vega et al., 2005). Therefore, the objectives of this study were (1) evaluation of the effect of temperature on the drying, (2) modeling the drying kinetics by hot air of yellow potatoes, variety Amarilla Tumbay and (3) determination of the kinetics drying parameters such as water diffusivity (Do) and molar activation energy (Ea).

MATERIAL AND METHODS

The drying kinetics of yellow potatoes were studied in a computer-controlled tunnel tray dryer, EDIBON(RM) model SBANC (Figure 1a).

The dryer had three drying trays with a total area of 360 cm2. One hour before the start of the experiment, the temperature and drying speed were programmed, whereafter the yellow potato samples were placed into trays and the weight mass was recorded as a function of time. Every hour, the temperature and drying speed programmed were controlled.

Potato cultivar: For the experiment, the variety Amarilla Tumbay (Solanum goniocalyx Juz. et Buk-cv Tumbay) from the province of Huanuco, Department of Huanuco (Egusquiza, 2014), Peru, was used.

Drying experiment: Potato samples were bought on Huanuco markets. They were washed, cut into slices of 0.5 cm thickness and bleached at 100 ºC for 1.50 minutes. Subsequently, they were put in a tray until covering a width of 11 cm (representing 165 cm2 area) (Figure 1b) and immediately analyzed for moisture content. One hour before the start of the experiment, the temperature (60, 70 and 80 °C) (Hatamipour et al., 2007) and drying speed (4.9, 6.7 and 8.3 m/s) were programmed, whereafter Amarilla Tumbay potato samples were placed into trays and the weight mass was recorded as a function of time. Then samples were weighted every single second during the drying process (Figure 1c). Every hour, the temperature and drying speed program was controlled.

Moisture content: The moisture content was determined according to the official 920.151 method (AOAC, 2016). About 30 g of potato mass was weighted, ground, distributed in three petri dishes of 10 g each, and put in the oven at 105 °C until constant weight.

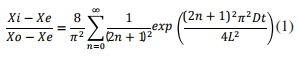
Mathematical modeling: Fick's second law of moisture diffusion (Crank, 1975) during thin layer drying, can be expressed in Equation 1:

Where: Xi = moisture content at time i, Xo = initial moisture content, Xe = equilibrium moisture content, all on dry weight basis (Xbs), D = moisture diffusivity (m2/min), L = thickness of the potato slice (m) and t = drying time (min).

To obtain the different diffusivities at different temperatures, the Arrhenius equation was used, Equation 2:

Where: Ea = activation energy, R = universal gas constant (8.314 kJ/kmol) (Vega et al., 2005) and T = temperature (°K). It was considered as a first order equation, Equation 3:

As such, the kinetics drying parameters (Do and Ea) were obtained (m2/s, kJ/mol).

Experimental design: To determine the effect of temperature and air speed on drying of the Amarilla Tumbay potatoes, nine randomly treatments with two repetitions were used: the combinations of three temperatures and three air speeds (Table 1).

A factorial design 32, in CRD (p < 0.05), with a total of 18 experimental units was used. Both factors, drying temperature and air speed were as follows: 60, 70 and 80 ºC as temperature and 4.9, 6.7 and 8.3 m/s as air speed. The LSD method (Least Significant Differences of Fisher) was used to determine significant differences between levels. The Statgraphics Plus Program® was used for statistical analysis.

RESULTS AND DISCUSSION

Effect of temperature: Table 2 shows the diffusion coefficients for the different treatments. There was no significant difference between the diffusion coefficients at different air speeds (p < 0.05) in Peruvian yellow potatoes (Table 3). Therefore, only the drying temperature (60, 70 and 80 °C) was evaluated (Figure 2). A higher temperature increased from 60 to 80 °C, the drying kinetics increased such as 8.62x 10-9 to 9.49x 10-9 m2/min (Table 2), consequently increasing the heat flux, inducing by the air into the product and the effect of acceleration of the internal water migration (Chouicha, Boubekri, Mennouche & Berrbeuch, 2013). Also Fan et al. (2015) found with dried sweet potatoes slices that the water diffusivity was effected by temperature.

Figure 2 shows that the highest drying speed was achieved at 80 °C, similar to the findings of Hii et al. (2009). It is clear that at higher moisture content the increase in temperature had a more important effect on the drying speed as compared to lower temperatures (60 and 70 °C). On the other hand, in our study, no significant differences were observed between 60 and 70 °C (Figure 3). There is the small statistical difference between diffusivity averages at those temperatures (-0.38) which confirm no difference between 60 and 70 °C (Table 4).

Figure 4 shows the result of the variation of free moisture as a function of drying time at the three different temperatures (60, 70 and 80 °C). The drying time at constant air speed was very small, similar such as dried sweet potatoes slices (Fan et al., 2015). The drying occurs by evaporation of pure water; the mechanism of water movement occurs from the inside of the product. Also Figure 4 shows that the Amarilla Tumbay potatoes had initially a moisture content of 1.5 to 2.0 kg water/kg dry matter at the three different temperatures (60, 70 and 80 °C), consequently three different curves of drying, ending at 0.5 kg water/kg dry matter. At this point, the drying time at 70 and 80 °C was shorter than 60 °C (Figure 4). As Benali (2012) mentioned, a higher air temperature increases the temperature difference between this temperature and the material temperature (in this case Amarilla Tumbay potatoes) hence, the mass flux increases and the drying time decreases. Amarilla Tumbay potatoes have a low moisture content (65.7 ± 6 % w.b. or 1.9 kg water/kg dry matter), in comparison to other potatoes. In the study of Fan et al. (2015), sweet potatoes slices, pealed, cut in different slices of 0.3, 0.4, 0.6 and 0.8 cm and bleached, had an initial average moisture content of 4.03 kg water/kg dry matter. The low moisture content of yellow potatoes indicates a high dry matter content.

Consequently, only a very short period of drying with constant air speed was necessary, as also Fan et al. (2015) found. Olanipekun et al. (2015) studied pineapple drying, concluding that drying process occurred only in falling rate period; dried pineapple in a hot-air oven and showed that the removal of moisture was achieved by air movement from 5.25 kg water/ kg dry matter until the moisture content reached a value of about 0.33 kg water/kg dry matter. Also, Kaleta and Gornicki (2010) drying apples in cubes & slices in a laboratory type dryer with the initial moisture content ranged from 6.09 to 7.83 kg water/kg dry matter (from 85.9 to 88.7 % w.b).

Borah, Hazarika & Khayer (2015) studied tumeric rhyzome samples, which were boiled for two minutes, cutted in slices of cylindrical shape (10-14 mm thickness and 50-70 mm length) and dried in a solar conduction dryer at air temperatures of 39-51 °C. The drying process of the rhizomes showed better kinetics by slicing and the effective drying time could be reduced by slicing the rhizomes instead of drying them as a whole. At 80 °C and a high drying speed, Amarilla Tumbay potatoes dried quickly resulting in a higher slope (Figure 2). The variation of slope was higher when drying occurred at different speed and diffusivity was related to the slope.

Mathematical Model: Figure 5 shows the change of moisture diffusion of Amarilla Tumbay potatoes as a function of temperature variation. The Arrhenius equation was linearized by applying the natural log at both sides and a plot of Ln (D) with 1/T with an R2= 0.995. Hii et al. (2009) reported for dried cocoa beans a R2 value of = 0.997. Vega et al. (2005) found for drying of pepper (cv. Lamuyo) in hot air R2= 0.90, confirming the dependence on temperature.

Kinetics drying parameters for different types of potatoes around the world are shown in Table 5. A high value of Do means a weak resistance to diffusion (Vega et al., 2005). This is illustrated by the data of Table 5: dried potatoes slices from Iran had a Do value of 3.17x10-7 to 15.45x10-7 m2/s (Aghbashlo et al., 2009) because air speed was slow. The Amarilla Tumbay potatoe from Peru had a higher resistance to release water as can be seen from the value of Do (0.81x10-9 m2/s) similar to dried sweet potatoes slices from China a Do = 3.66x10-10 to 2.11x10-9 m2/s (Fan et al., 2015).

The available energy to activate the process of water transfer (Hii et al. 2009) was higher for dried potatoes slices from Iran (Ea = 39.49 to 42.34 kJ/mol) than for dried sweet potatoes slices from China (Ea = 13.48 to 16.50 kJ/mol).

But they were higher than for Amarilla Tumbay potatoes from Peru (Ea = 4.81 kJ/mol), due to the higher water transfer resistance by an average air speed of 1.0 m/s (Table 5). The low activation energy values observed during Amarilla Tumbay potatoes drying indicate that not much energy is required to initiate moisture diffusion from the internal regions of potatoes to the surface and get adequate quality of the Peruvian potatoes.

CONCLUSION

It was concluded that the drying kinetics of Amarilla Tumbay potatoes from Peru were only a function of temperature. The falling rate period was adjusted to Fick´s law of diffusion at Ln D = -579.42 (1/T) – 16.836. The constants of Fick's law under the experimental conditions were Do = 0.81x10-9 m2/s and Ea = 4.81 kJ/mol. The effect of temperature of drying kinetics were similar between 60 a 70 °C. This type of results will be very useful to design equipment and processing methodology of Amarilla Tumbay potatoes.

Acknowledgements

Thanks to Prof. Rolando Egusquiza (Agronomy Faculty - UNALM) for providing the Amarilla Tumbay potatoes, to the Industry Faculty (FIAL – UNALM) for using the Engineering laboratory and to Prof. Oswald Van Cleemput (Ghent University) for scientific communications corrections.

REFERENCIAS

Aghbashlo, M., Hossien Kianmehr, M. & Arabhosseini, A. (2009). Modeling of thin-layer drying of potato slices in length of continuous band dryer. Energy conversion and management, 50, 1348- 1355.

AOAC - Association of Official Agricultural Chemists. (2016). Official Methods of Analysis. 20th Edition, Volumen II. Editors: William Horwitz and George W. Latimer, Jr. Maryland, USA

Barrena, M.A., Marcelo, J.L. y Gamarra, O.A. (2009). Cinética del secado de lúcuma (Pouteria lucuma L.). Aporte Santiaguino, 2(2), 271-281.

Benali, M. (2012). Drying of yellow pea starch on inert carriers: Drying kinetics, moisture diffusivity and product quality. Journal of Food Engineering, 110, 337-344. doi:10.1016/j. jfoodeng.2012.01.003.

Borah, A., Hazarika, K. & Khayer, S.M. (2015). Drying kinetics of whole and sliced tumeric rhizomes (Curcuma longa L.) in a solar conduction dryer. Information Processing in Agriculture, 2, 85-92

Carranza, J. y Sánchez, M. (2002). Cinética de secado de Musa Paradisiaca L. plátano, y Manihot esculenta Grantz, yuca. Amazónica de Investigación Alimentaria, 2(1), 15-25.

Chouicha, S., Boubekri, A., Mennouche, D. & Berrbeuch, M.H. (2013). Solar drying of sliced potatoes, an experimental investigation. Energy Procedia, 36, 1276-1285. doi:10.1016/j. egypro.2013.07.144

Crank, J. (1975). The mathematics of diffusion. Oxford, UK: Clarendon press.

Egusquiza Bayona, R. (2014). La papa en el Perú. Lima: Universidad Nacional Agraria La Molina.

Gómez, R. & Roca, W. (2008). Native Potatoe of Peru. En Ministry of Agriculture (Ed.). p. 42.

Fan, K., Chen L., He J. & Yan F. (2015). Characterization of thin layer hot air drying of sweet potatoes (Ipomoea batatas L.) slices. Journal of Food Processing and Preservation, 39, 1361-1371.

Hatamipour, M.S., Hadji Kazemi, H., Nooralivand, A. & Nozarpoor, A. (2007). Drying characteristics of six varieties of sweet potatoes in diferente dryers. Trans IChemE, Part C, Food and Bioproducts Processing, 85(C3), 171-177.

Hii, C.L., Law, C.L. & Cloke, M. (2009). Modeling using a new thin layer drying model and product quality of cocoa. Journal of Food Engineering, 90, 191-198.

Kaleta, A. & Gornicki, K. (2010). Evaluation of drying models of apple (var. McIntosh) dried in a convective dryer. International Journal of Food Science and Technology, 45, 891-898.

López, A., Virseda, P. & Abril, J. (1995).  Modelización de la cinética de secado de patata cortada en laminas. Alimentaria, 268, 43-48.

Maldonado, R.J. y Pacheco-Delahaye, E. (2003). Curvas de deshidratación del brócoli (Brassica oleracea L. var. Italica plenk) y coliflor (Brassica oleracea L. var. botrytis L). Revista Facultad de Agronomia (LUZ), 20, 306-319.

Onwude, DI., Hashim, N., Janius, RB., Nawi, NM. & Abdan, K. (2016). Modeling the thin-layer drying of fruits and vegetables: a review. Comprehensive reviews in food science and food safety, 15, 599-618

Olanipekun, BF., Tunde-Akintunde, TY., Oyelade, OJ., Adebis, MG. & Adenaya, TA. (2015). Mathematical modeling of thin-layer pineapple drying. Journal of food processing and preservation, 39, 1431-1441.

Vega, A., Andrés, A. y Fito, P. (2005). Modelado de la Cinética de secado del Pimiento Rojo (Capsicum nahum L. cv Lamuyo). Información Tecnológica, 16(6), 3-11.

Vega, A. y Lemus, R. (2006). Modelado de la Cinética de secado de la papaya chilena (Vasconcellea pubescens). Información Tecnológica, 17(3), 23-31.