Variability among BRS 8381 soybean (Glycine max (L.) Merrill.) yield components under different liming rates and sowing densities on a savanna in Roraima, Brazil

Variabilidade em componentes da produção de soja (Glycine max (L.) Merrill.) BRS 8381 em diferentes níveis de calagens e densidade de plantas no cerrado de Roraima, Brasil


DOI: http://dx.doi.org/10.23850/24220582.350

Oscar José Smiderle1*, Daniel Gianluppi1 , Vicente Gianluppi1 and Aline das Graças Souza2

1Empresa Brasileira de Pesquisa Agropecuária - EMBRAPA, Brasil.
2Universidade Federal de Pelotas - RS, Brasil.

Autor correspondente: oscar.smiderle@embrapa.br

Recibido: 12.09.2016 Aceptado: 30.10.2016

Para citar este articulo

Smiderle, J., Gianluppi, D., Gianluppi, V. & Souza, A. (2016). Variability among BRS 8381 soybean (Glycine max(L.) Merrill.) yield components under different liming rates and sowing densities on a savanna in Roraima, Brazil. Rev. Colomb. Investig. Agroindustriales,3(1), 49-55. DOI: http://dx.doi.org/10.23850/24220582.350

ABSTRACT

The aim of this research was to evaluate variability among BRS 8381 soybean yield components, under different sowing densities and two amounts of limestone applications on a savanna in Roraima. The seeds were sown to provide five plant populations (10, 14, 18, 22 and 26 linear m-1), in plots with the application of 1.5 and 4.5 t ha-1 of limestone. Experimental plots consisted of four 5-meter long do 5 rows spaced 0.50 cm from each other. The experimental design was of randomized blocks in a factorial scheme with four replications. To evaluate the proposed variables, plants placed within the measurable area of each plot were collected and the following parameters were assessed: plant height, height of insertion of the first pod, stem diameter, number of nodes on the main stem, number of stems per plant, total number of pods per plant, number of grains per pod. Of the total number of plants harvested, 20 were randomly selected and evaluated individually. In addition to the aforementioned parameters, number of pods on the four upper nodes of the plant, dry mass of the plant and dry mass of grain were also evaluated. The apparent harvest index, 100-grain mass and yield estimate were also obtained. The BRS 8381 cultivar grown with 10 plants per linear meter of row presented greater plant dry mass, dry mass of grain, dry mass of hull and number of pods and twigs in both environments. The maximum grain yield was obtained with a plant distribution of 22 plants m-1 of row. The cultivar BRS 8381 is recommended with liming at 4.5 t ha-1 of dolomitic limestone under the edaphoclimatic conditions of the present study, due to its high phenotypic plasticity and higher performance in the production components.

Keywords: Key words: harvest index, plant distribution, plant height, grain yield.

RESUMO

O objetivo foi avaliar a variabilidade em componentes da produção de soja BRS 8381, estabelecida em diferentes distribuições de plantas cultivadas em duas calagens de solo em cerrado de Roraima. As sementes utilizadas foram distribuídas em cinco populações de plantas (10, 14, 18, 22 e 26 m-1 linear), em parcelas com 1,5 e 4,5 tha-1 de calcáreo. As parcelas foram constituídas por quatro linhas de cinco m de comprimento espaçadas entre si de 0,50 m. O delineamento experimental utilizado foi de blocos ao acaso em esquema bifatorial, com quatro repetições. Para avaliação das variáveis propostas coletou-se as plantas distribuídas na área útil de cada parcela, sendo determinadas: altura de planta, inserção da primeira vagem, diâmetro do caule, número de nós na haste principal, número de hastes por planta, número de vagens total por planta, número de grãos por vagem. Do total de plantas colhidas, 20 foram selecionadas, ao acaso, e avaliadas individualmente quanto aos parâmetros já mencionados, além do número de vagens nos quatro últimos nós da planta, a massa seca da planta e a massa seca de grãos. Também foram obtidos o índice de colheita aparente, massa de 100 grãos e estimativa da produtividade. A cv. BRS 8183 quando cultivada com 10 plantas por metro linear de fileira apresenta maior massa seca de planta, massa seca dos grãos, massa seca da casca, número de vagens e de ramos, nos dois ambientes. Na distribuição com 22 plantas m-1 de fileira é obtida a máxima produtividade de grãos. A cultivar BRS 8381, é indicada na calagem com 4,5 t ha-1 de calcário dolomítico nas condições edafoclimáticas da presente pesquisa, devido apresentar alta plasticidade fenotípica, e maior desempenho nos componentes de produção.

Palavras-chave: índice de colheita, distribuição de plantas, altura de plantas, produtividade de grãos.

INTRODUCTION

Soybean crop (Glycine max (L.) Merrill), yield in Brazil is growing due to intensive utilization of technology by farmers (Silva et al., 2016). Support for research and the obtainment of new high-yielding cultivars that are less susceptible to the adverse conditions to crops are important factors to allow this increased yield (Scudeletti & Gazola, 2015).

Verifying the effects of intraspecific competition in the search of greater yields has become a challenge for scientific research. There is need to seek new management practices which decrease that competition, maximize the utilization of available environmental factors and increase crop yield without increasing production costs (Scudeletti & Gazola, 2015).

Management aiming at high soybean yields focuses on the interaction between climate, plant and soil, proposing the efficient and rational use of fertilizers (Procópio et al., 2014), since a good quality soil, provided by an adequate tillage management and excellent climate conditions provides conditions for the plant to development well, which will influence grain yield (Nunes et al., 2016).

In the search for better practices, an adequate plant population and soil management are decisive factors for adjusting the arrangement of soybean plants (Cruz et al., 2016), as they influence the yield components, especially the number of pods/plant and grains/pod, and correlate directly with grain yield, according to Bulegon et al. (2016), that correlation provides the basis for indirect selection of higher-yielding genotypes.

In the majority of breeding programs, line selection in the field is performed in a certain number of plants due to the great number of genotypes evaluated. There is a need, therefore, to evaluate other populational distributions with different numbers of plants of the released cultivars, in order to better understand their yield potential. This study was developed with the aim to evaluate the variability among yield components of the soybean BRS8381 cultivar, established in five different plant distributions with two liming rates in a first crop area on a savanna in Roraima, Brazil.

MATERIALS AND METHODS

The experimental area was placed in the água Boa Experimental Field of Embrapa Roraima, situated in the municipality of Boa Vista, on the left side of BR174, 25 km from Boa Vista, (2º 23’45,31” latitude North and 60º 58’ 44,34” longitude West, at an altitude is of 90 m above sea level) and the soil is classified as Dystrophic Yellow Latosol, medium-textured, chemically poor and with low contents of organic matter according to data obtained from the 0-15 cm layer (clay=15%; Organic Matter=0.34%; S=0.21 me/100g; Al=0.40 me/100g; CEC=1.20 me/ 100g; V=18%; and m=66%). Natural phosphorus reaches 0.11 mg/100g of P2O5 and K 3.5 mg/100g of soil (Radambrasil, 1975).

For assay establishment, the soil was submitted to two liming rates: 1.5t ha-1 (environment 1) and 4.5t ha-1 (environment 2), utilizing dolomitic limestone with 100% of ECCE (Effective calcium carbonate equivalent). Both environments had a standard amendment of fertility with the application of 1.800 kg ha-1 of agricultural gypsum, 225 kg ha-1 of P2O5 (triple superphosphate), 120 kg ha-1 of K2O (potassium chloride, 60% of K2O) and 50 kg ha-1 of FTE (Fritted Traced Elements) BR12. All products were applied through harrows. Sowing was performed with a seed drillfertilizing machine. A basis fertilization of 300 kg ha-1 of formulated fertilizer containing: 3% of N; 28% of P2O5; 9% of K2O; 10% of Ca; 8% of S; 0.3% of Zn; 0.3% of Mn; 0.12% of B; and 0.12 % of Cu was carried out. Seeds of the cultivar BRS8381 were utilized, belonging to the group of semi-determined growth and relative maturity 8.3. The seeds were treated and inoculated according to the soybeangrowing system for Roraima (Smiderle et al., 2009).

The amount of seeds utilized was 40 seeds/linear meter, in order to obtain the populations proposed of 10, 14, 18, 22, 26 plants linear m-1 after thinning. Soil amendment was carried out during the month of June and sowing on the 29th of June, 2015. Ten days after emergence, thinning of the excess plants was carried out by cutting them close to the soil. For no tendentiousness at thinning and possible selection of more vigorous plants within the treatments to occur, a marked ruler with the distances between the plants along the row was utilized, maintaining the plant closest to the marked point. The control of pests, diseases and weeds and the application of leaf micronutrients were carried out in accordance with recommendations of the production system. At 25 days after plant emergence, topdressing with 100 kg ha-1 of potassium chloride (60% of K2O) was carried out.

The experiment was conducted in a randomized block design in a bifactorial scheme with four replications. The plots consisted of four five-meter long rows spaced 0.50 meters apart. With the aim of evaluating the proposed variables, all plants present in the measurable area (two central rows of 4 m) were collected. Of the collected plants, 80 per treatment were surveyed individually for the following parameters: plant height, height of insertion of the first pod, stem diameter, number of nodes on the main stem, number of stems per plant, total number of pods per plant, number of grain per pod. Determination of plant height and of insertion of the first pod was carried out with the aid of a millimetric ruler while the stem diameter was measured with a digital pachymeter. Counting and pod threshing were performed by hand and the weight of plants, hulls and grains were determined as well as the number of grains/plant and also the apparent harvest index (AHI) was established. AHI was obtained by the ratio between the grain mass and the total mass of the shoot of the 20 plants surveyed.

The grain yield per area was determined in a similar manner to the grain yield per plant, converted into grain yield per hectare, after correction to 13% of moisture. Samples were taken for determination of moisture of the grains, placed into an oven at 105 ° C for 24 hours and correction of the yield to 13% humidity, both for grains plant-1 and grains ha-1.

Experimental data were submitted to analysis of variance and the treatment effects evaluated by the ‘F’ test. For comparisons of means, the Tukey test at 5% of probability was utilized and quantitative factors were analyzed by regression, the equation with the highest coefficient being adopted.

RESULTS AND DISCUSSION

Analysis of variance showed that the parameters plant height (AP), height of insertion of the first pod (HIFP), stem diameter (SD), number of nodes on the main stem (NNS), total number of pods per plant (TNPP) were significant in relation to the environment (Table 1). The superiority of environment 2 compared to environment 1 is probably due to the increased grain mass and total number of pods per plant, although the cultivar presents semi-determined growth. According to Rambo et al. (2003), the twigs on which the pods attach and the amount of directly twigs influence the number of pods per plant, and the amount of twigs directly influences the number of pods per plant, which was observed in cultivar BRS 8381, although without significant differences for the number of grains but with a greater number of pods per plant.

Population density was significant for the variables proposed, except for number of pods and grains in the four last nodes of the plant, apparent harvest index (AHI) and number of grains per pod. For the interaction environment x density, the only significant variables were dry mass of plant, dry mass of hull and percentage of pod on the last four nodes (Table 1).

Soil amendment with the application of 4.5 t ha-1 of dolomitic limestone with 100% ECCE (environment 2) responded differently for plant height, insertion height of the first pod, stem diameter, number of nodes on the main stem, total number of pods per plant, dry mass of grains, dry mass of the hull, estimate of yield and 100 seed mass when compared with the application of 1.5 t ha-1 of dolomitic limestone (environment 1).

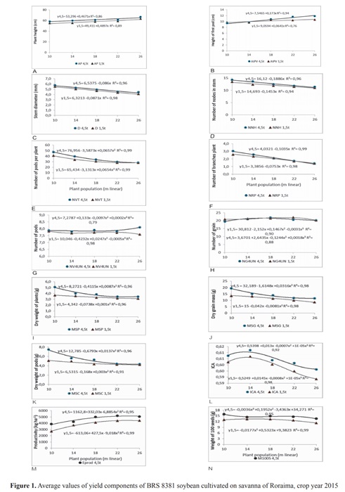
However, as can be observed in Figure 1A, the response surface of plant height relative to environments and number of plants per row correspond to the maximum efficiency of 61.5 cm with 18 and 22 plants per row in environment 2, indicating satisfactory development, since plant heights greater than 65 cm reduce losses at the harvest time (Cruz et al., 2016; Garcia et al., 2007). Plant height in environment 2 was related to height of insertion of the first pod, where plots with a smaller number of plants resulted into shorter plants, and consequently, with a shorter height of insertion of the first pod (Figure 1B). According to Mauad et al. (2010), increased soybean plant density can enhance plant height and the height of insertion of the first pod.

On the other hand, the 10-plant per row population in environment 2 presented higher values for the variables stem diameter and number of nodes on the main stem (Figures 1C and 1D). The estimated coefficient of determination in this context was of high magnitude (R2= 0.96).

Thus, low plant density reduces solar radiation interception per area, promoting grain yield per area and reducing yield per area (Duarte et al., 2016). With increased plant population, there was a reduction in number of pods, dry mass of plant, dry mass of grains, dry mass of hulls and vice versa. That occurred because as plant density increases, there is greater competition among soybean plants for water, nutrients and light, which limits the growth of each plant (Sartori et al., 2016). However, there is a compensation due to the increase in yield estimate (Figures 1 E, F, I, J, K), these differences being associated with the genetics of the cultivar investigated. This behavior can be observed in Figure 1M, in which the yield estimate (kg ha-1) increases with the increase of plant population, showing a quadratic function. Further, it was found that environment 2 provided increases in grain yield of BRS 8381 soybean plants.

Soybean is an agricultural species whose plants possess characteristics of high plasticity, which is a capacity of adapting to environmental and management conditions by means of modifications in their architecture and in yield components (Silva et al., 2016). Studies evaluating soybean plant plasticity concerning its adaptability in different population stands demonstrate that the number of pods is determined during the final vegetative and initial reproductive stages. Therefore, in relation to the number of pods and grains on the 4 last nodes (Figures 1G and 1H), respectively, considering the environment x population interaction, there was a tendency toward greater numbers of pod in environment 2 (Figure 1G).

This demonstrates the high phenotypic plasticity of soybean, as observed by Procópio et al. (2013), and Holtz et al. (2014).

The population with 14 plants per meter of row in environment 2 presented the highest values of AHI, showing that for cultivar BRS 8381, a smaller number of plants per row and ideal fertilization provides better conditions for the yield components of plants. According to Franchini et al. (2015), the real and apparent harvest indices (including or not the senescent leaves, respectively) in soybean crops indicate that a harvest index based only upon the biomass at maturation may reflect the biomass allocation capacity in grains of a given genotype.

Considering the five populations and the two environments, there was a general trend of decrease of 100-seed mass with the increase of population from 10 plants to 26 plants ha-1 (Figure 1N), which was also observed for total number of pods per plant (Figure 1E) and dry mass of grains (Figure 1J). Fernandez et al. (2009) observed that an increase in number of pods is one of the characteristics to raise the soybean grain yield, and that the increase of the number of grains per pod can be obtained through environmental conditions and better nutrient intake of soybean plants throughout the cycle. In addition, studies by Duarte et al. (2016), on the production components and productivity of the cultivar Anta 82, showed that the grain mass per plant decreased with increased population density.

In general, during the experimental growth period, there was variation in rain distribution and high temperatures occurred, with reduced values in the first 10-day period of August at plant flowering and in the first 10-day period of September (Figure 2), which anticipated the end of plant cycle without, nevertheless, reducing the expected yield. This condition is common in the state of Roraima, where the average temperature is 27°C and relative humidity ranges from 55% to 79% (Lima et al., 2014). According to Ferreira Jr. et al. (2010), soybean presents characteristics of high plasticity and this is evident in cultivars of the semi-determined growth type, such as BRS 8381.

Research on soybean has aimed to provide conditions for plants with more balanced architecture and capable of bearing a great number of pods and grains up to the moment of harvest (Souza et al., 2013). The use of the recommended number of plants per row and ideal fertilization can contribute to these conditions for cv. BRS8381. Although the environment with 4.5 t ha-1 of dolomitic limestone demonstrated a better performance, the final recommendation for liming rate will depend on complementary studies concerning its economic viability and durability of the residual effect.

CONCLUSIONS

The cultivar BRS 8381, is recommended with liming at 4.5 t ha-1 of dolomitic limestone under the edaphoclimatic conditions of the present study, due to its high phenotypic plasticity and higher performance in the production components. The population of soybean plants of cv. BRS 8381 with 10 plants m-1 of row (200000 plants ha-1) is recommended for obtaining greater dry mass of plant, dry mass of grain, dry mass of hull and number of pods and twigs in both environments. To obtain a higher grain yield, the population with 22 plants m-1 per row (440000 plants ha-1) is suggested.

REFERENCES

Carpentieri-Pípolo, V., Gastaldi, L.F., & Pípolo, A. E. (2005). Phenotypic correlations between quantitative characteristics in soybean. Semina: Ciências Agrárias, 26(1), 11-16

Ferreira Junior, J.A., Espindola, S.M.C.G., Gonçalves, D.A.R., Lopes, E.W. (2010). Evaluation of soybean genotypes in different times of planting density and sowing in the city of Uberaba - MG. FAZU em Revista, 7, 13-21

Fernandez, F., Brouder, S., Volenec, J., Beyrouty, C., & Hoyum, R. (2009). Root and shoot growth, seed composition, and yield components of no-till rainfed soybean under variable potassium. Plant Soil, 322(1-2), 125-138. http://dx.doi.org/10.1007/s11104-009-9900-9

Ferreira, D. F. (2011). SISVAR: a computer statistical analysis system. Ciência Agrotec, 35(6), 1039-1042. http://dx.doi.org/10.1590/S1413-70542011000600001

García, A., Pípolo, A.E., Lopes, I., de O.N., & Portugal, F.A.F. (2007). Instalação da lavoura de soja: época, cultivares, espaçamento e população de plantas. Circular técnica, Embrapa, Londrina, PR.

Heiffig, L.S., Câmara, G.M. de S., Marques, L.A., Pedroso, D.B., & Piedade, S. M. de S. (2006). Closed canopy and leaf area index of soybean in different space arrangements. Bragantia, 65(2), 285-295. http://dx.doi.org/10.1590/S0006-87052006000200010

Holtz, V., Couto, R.F., Oliveira, D.G., & Reis, E.F. (2014). Deposition of spray solution and productivity of soybean cultivated in different spatial arrangements. Ciên Rural, 44(8), 1371-1376. http://dx.doi.org/10.1590/0103-8478cr20130783

Lima, J.M.E., Smiderle, O.J., Alves, J.M.A., Chagas, E. A., & Souza, A. G. (2014). Fertilization types and times of evaluation in health and viability of seeds of vegetable soybeans. Rev. Agro@mbiente On-line, 8(2), 244-252.

Procópio, S.O., Junior, A.A.B., Debiasi, H., Franchini, J. C., & Panison, F. (2014). Semeadura em fileira dupla e espaçamento reduzido na cultura da soja. Rev. Agro@mbiente, 8(2), 212-221

Procópio, S.O., Balbinot-Junior, A.A., Debiasi, H., Franchini, J. C., & Panison, F. (2013). Sowing in crossed rows in a soybean cultivar with indeterminate growth habit. Rev Ciên Agrárias, 56(4), 319-325. http://dx.doi.org/10.4322/rca.2013.048

Rambo, L., Costa, J.A., Pires, J.L.P., Parcianello, G., & Ferreira, F. G. (2003). Soybean yield response to plant arrangement. Ciên Rural, 33(3), 405-411. http://dx.doi.org/10.1590/S0103-84782003000300003

Sartori, G. M. S., Marchezan, E., David, R., Donato, G., Coelho, L. L., Aires, N. P. & Aramburu, B. B. (2016). Soil tillage systems and seeding on grain yield of soybean in lowland area. Ciên Rural, 46(3), 492-498 http://dx.doi.org/10.1590/0103-8478cr20150676

Sangoi, L. (2001). Understanding plant density effects on maize growth and development: an important issue to maximize grain yield. Ciên Rural, 31(1), 159–168. http://dx.doi.org/10.1590/S0103-84782001000100027

Scudeletti, D., & Gazola, R. (2015). Teste de germinação em soja (Glycine max L.) tratadas com bioestimulante e thiamethoxam. Rev. Científica Eletrônica de Agronomia, 3(27), 140-146

Silva, T. A., Silva, P. B., Silva, E.A.A., Nakagawa, J. & Cavariani, C. (2016). Seed priming, yield components and yield of soybean. Ciência Rural, 46(2), 227-232. http://dx.doi.org/10.1590/0103-8478cr20141736

Smiderle, O.J., Gianluppi, V., Gianluppi, D., Marsaro Júnior, A.L., Zilli, J.E., Nechet, K. de L., Barbosa, G. F., & Mattioni, J. A. M. (2009). Cultivo de soja no cerrado de Roraima, Boa Vista, RR: Embrapa Roraima (Embrapa Roraima. Sistemas de produção, 1). http://sistemasdeproducao.cnptia.embrapa.br/FontesHTML/Soja/CultivodeSojanoCerradodeRoraima/index.htm.

Souza, C.A., Figueiredo, B.P., Coelho, C.M.M., Casa, R.T. & Sangoi, L.N. (2013). Plant architecture and productivity of soybean affected by plant growth retardants. Bioscience J, 29(3), 634-643