Evaluación del proceso fermentativo en la producción de hidromieles monoflorales colombianas

Evaluation of the fermentation process in the production of Colombian monofloral meads.


DOI: http://dx.doi.org/10.23850/24220582.377

José Libardo Tapiero Cuéllar1; Guillermo Salamanca Grosso2

1Grupo de Investigaciones Agroindustriales GICTACAB. Centro Agropecuario Buga. Servicio Nacional de Aprendizaje SENA, Regional Valle, Colombia.
2Grupo de Investigaciones Mellitopalinológicas y Propiedades Fisicoquímicas de Alimentos. Facultad de Ciencias. Departamento de Química, Universidad del Tolima. A.A. 546 Ibagué,- Tolima, Colombia.

Autor para correspondencia:jltapiero@gmail.com

Recibido: 16. 05.2016 Aceptado: 24.08.2016

Para citar este articulo

Tapiero-Cuéllar, J L. y Salamanca, G. (2016). Evaluación del proceso fermentativo en la producción de hidromieles monoflorales colombianas. Rev. Colomb. Investig. Agroindustriales, 3(1), 6-14. DOI:http://dx.doi.org/10.23850/24220582.377

RESUMEN

El objetivo de esta investigación fue la optimización de hidromieles colombianas usando muestras de mieles monoflorales de Eucalipto (Eucalyptus globulus Labill.), Encenillo (Weinmannia tomentosa L.f.) y Matarratón (Gliricidia sepium (Jacq.) Walp.), obtenidas en las zonas de Villanueva -(Casanare), Paipa- (Boyacá) y Mariquita- (Tolima), Colombia, como desarrollo de un nuevo producto con valor agregado. Se realizó en primera instancia, la evaluación de las propiedades fisicoquímicas de la materia prima (miel), así como el análisis polínico de la misma para confirmar su naturaleza. Se utilizó un sistema discontinuo (Batch) a temperatura ambiente con mostos de 22°Brix y tres niveles de levadura (0,30, 0,40 y 0,60 g.L-1) del género Saccharomyces bayanus. Durante el proceso fermentativo, se evaluó la transformación de los azucares de la miel, ácidos volátiles y totales en los mostos, usando un modelo matemático Sigmoidal-Logístico. Para la medición de la producción de etanol y dióxido de carbono, la cinética se ajustó al modelo matemático Sigmoidal-Slogistico1 con interacción logarítmica de Levenberg Marquart, permitiendo valorar cada una de las variables relacionas con el consumo y producción de compuestos durante la fase exponencial del crecimiento de las levaduras. Los resultados más relevantes permitieron observar un descenso de los sólidos solubles, durante el proceso de fermentación, desde 22,2 ± 0,40 a 9,10 ± 0,05 °Brix. La fracción de etanol en los mostos evoluciona con el incremento de levadura; para las hidromieles estuvo en el rango de 8,34 ± 0,22 a 11,2 ± 0,33 g.L-1. Para la evaluación de la cinética, se usó el paquete estadístico OriginPro2016. La evolución de dióxido de carbono mostró una mayor velocidad de reacción en los mostos con niveles más altos de levadura, desde 17,4 ± 0,06 a 20,8 ± 0,70 g.L-1 acumulado durante los 11 días de fermentación. El producto final fue evaluado en términos de la fracción etanólica, sólidos solubles, acidez total, volátil y dióxido de carbono.

Palabras clave: Acidez total, agroindustria apícola, cinética de reacción, fermentación, fracción etanólica, sólidos solubles.

ABSTRACT

The aim of this research was the optimization of Colombian meads using samples of eucalyptus (Eucalyptus globulus Labill.), Encenillo (Weinmannia tomentosa L.f.) and Matarraton (Gliricidia sepium (Jacq.) Walp.) monofloral meads, obtained in the areas of Villanueva -(Casanare), Paipa- (Boyacá) and Mariquita- (Tolima), Colombia, as a development of a new product with added value.In addition, the evaluation ofthe physicochemical properties of the raw material (mead) was made, as well as the pollen analysis of the same to confirm its nature. A batch system was used at room temperature with 22 °Brix musts and three yeast levels (0.30, 0.40 and 0.60 g.L-1) of the genus Saccharomyces bayanus. During the mead fermentation process, volatile and total sugars were transformed in musts using a Sigmoidal-Logistic mathematical model. In order to measure the production of ethanol and carbon dioxide, the kinetics were adjusted to the mathematical model Sigmoidal-Slogistico1 with logarithmic interaction of Levenberg Marquart, allowing evaluate each ofthe variables related to the consumption and production of compounds during the exponential phase ofthe yeast growth. The most relevant results allowed observe a decrease of the soluble solids, during the fermentation process, from 22.2 ± 0.40 to 9.10 ± 0.05° Brix. The ethanol fraction in the musts evolved with the increase of yeast, for the mead, wasin the range of 8.34 ± 0.22 to 11.2± 0.33 g.L-1. For the evaluation ofthe kinetics, the statistical package Origin Pro 2016 was used.The evolution of carbon dioxide showed a higher reaction rate in the musts with higher levels of yeast, from 17.4 ± 0.06 to 20.8 ± 0.70 g.L-1 accumulated during the 11 days of fermentation. The final product was evaluated in terms of ethanolic fraction, soluble solids, total acidity, volatile and carbon dioxide.

Keyword: beekeeping agroindustry, ethanolic fraction, fermentation, reaction kinetics, soluble solids, total acidity.

INTRODUCCIÓN

La apicultura en Colombia es una actividad agropecuaria orientada al manejo de abejas del género Apis; se cosecha miel y polen, y se realiza la extracción de propóleos, jalea real y cera en bajas cantidades. La mayor parte de los pequeños productores son rurales con grandes dificultades en la producción, lo que les impide producir con calidad, volumen, periodicidad, oportunidad y a bajos costos.

La hidromiel es, sin lugar a dudas, la bebida fermentada más antigua y reconocida en las diferentes culturas y civilizaciones humanas, no obstante en la actualidad el mercado, que está restringido solo a Europa del éste, contiene de 8 a 18% (v / v) de etanol. Su valor como bebida refrescante y como tónico para la salud ha hecho posible que se retomen las propiedades que se le atribuyeron en otro tiempo. La fermentación de miel se puede utilizar para producir diferentes variedades de hidromiel, jerez, vino espumoso y vinos de fruta-miel, que puede tener diferentes sabores dependiendo de la fuente floral y el tipo de miel usada en la elaboración del producto, que se potencializan con la incorporación de aditivos y nuevos tipos de levadura usada en el proceso (Gupta & Sharma, 2009).

La composición de las mieles definen la calidad del producto final, (Mendes-Ferreira et al., 2010). En el producto se reconocen aún propiedades vigorizantes debido al residual de azúcares no fermentados y a la fracción de etanol presente en el cuerpo de la bebida; la presencia de antioxidantes confiere a las hidromieles un valor especial que las posiciona en el mercado de productos con valor añadido (Ramalhosa, Gomes, Pereira, Dias, & Estevinho, 2011). El proceso convencional mediante el cual transcurre la fermentación, tarda varios meses en completarse y es necesario el uso de levadura como cultivos iniciadores (Pereira et al., 2013; Pereira et al., 2009). La producción de hidromieles en la actualidad representa una posible alternativa económica a los productores apícolas que tengan la intención de obtener nuevos productos con valor añadido.

La fermentación alcohólica, es un proceso anaeróbico realizado por levaduras y algunas familias de bacterias (Jackson, R. S., 2008). Salamanca & Beltrán (2015), establecen que los carbohidratos (mono y disacáridos), son transformados en etanol y dióxido de carbono, resultando los equivalentes de reducción de los compuestos NADH/NAD+ y NADHP/NADP+ y enlaces de alta energía de fosfato, ATP. De igual forma, se puede considerar como un proceso de oxidación, en el que, una molécula compleja se transforma en una más simple, liberando energía y generando un producto final. La energía química se deriva de un proceso de fosforilación mediante la transferencia de electrones que conducen a la producción de un compuesto orgánico oxidado.

Las hidromieles, con respecto al origen de la miel, pueden tener un amplio espectro de aromas y sabores, debido al uso de aditivos, mezcla de mostos, tipos de levadura durante el periodo de fermentación y tiempo de añejamiento. A pesar del reconocimiento de las condiciones necesarias para la elaboración de hidromieles, los aspectos tecnológicos de la elaboración han enfrentado el problema del escalamiento, pasando de producciones de 1,0 a 20 L En estas condiciones se han observado tasas de crecimiento específico máximo del orden de 0,045 y 0,038 h-1 (Gomes, T. Barradas, C., Dias, T., Morais, J.S., & Ramalhosa, E. 2015).

La elaboración de hidromiel es un proceso que requiere tiempo para que se presente el consumo de los azúcares de la miel, la evolución de la acidez y la transformación de compuestos como el etanol y el dióxido de carbono (CO2). El objetivo principal de muchos productores de esta bebida es la de reducir el tiempo de fermentación y mantener las características finales del producto. El uso de diferentes cantidades de nitrógeno, de acuerdo a la legislación europea para vinos de uva (300 mg.L-1 ), como fosfato diamónico o sulfato de amonio permiten reducir los tiempos de transformación en once días. Pero a pesar del uso de activadores celulares, el desarrollo del proceso no es el esperado, debido a que no se consume todo el sustrato, sugiriendo que la miel presenta compuestos con la habilidad de inhibir su crecimiento. (Mendes-Ferreira et al., 2010).

Los aspectos relacionados con la cinética del proceso se desconocen; la falta de controles y el monitoreo del proceso fermentativo, traen como consecuencia, la falta de uniformidad en los productos finales y fermentaciones incompletas o excesivas, las cuales tienden a estar acompañadas de aromas y sabores desagradables. El objetivo de esta investigación se ha centrado en la optimización de hidromieles monoflorales de Eucalipto (Eucalyptus globulus Labill.), Encenillo (Weinmannia tomentosa L.f.) y Matarratón (Gliricidia sepium (Jacq.) Walp.), optimizando la proporción de agua, miel y levadura para ser operado en un sistema discontinuo (Batch) a temperatura ambiente.

MATERIALES Y METODOS

Muestras.

En este trabajo se usaron muestras de miel de Apis mellifera L. (ymenoptera: Apidae), beneficiadas en zonas biogeográficas de bosque húmedo tropical (bh-T; 350 m.s.n.m. 2640 mm.año-1 de precipitación; 27°C), en la localidad de Villanueva (5° 16 16.2' LN; 71 59'06.25' LO) y San Sebastián de Mariquita (bh-T; 480 m. s. n. m. 1811 mm.año-1 de precipitación y 28°C), (5° 14.22'65'' LN; 74° 55.54'09'' LO) en los departamentos de Casanare y Tolima, Colombia, respectivamente. Una tercera muestra fue beneficiada en área rural del municipio de Paipa (5° 47.03' 74'' LN; 73°09.00'. 16'' LO), (bh-mb; 2525 m.s.n.m. 944 mm.año-1 de precipitación y 13°C) en la Vereda de la Bolsa, – Páramo de Paipa, Departamento de Boyacá, Colombia (Figura 1).

Levadura.

Se utilizó una cepa de levadura del género Saccharomyces bayanus VR 44 vínica de amplio uso en la obtención de bebidas alcohólicas y vinos producidos a nivel nacional e internacional (Lote KR-13001038) de marca Springer Oenologie® de la casa FERMENTIS®.Esta variedad se caracteriza por tener una buena adaptabilidad e inicio rápido de la fermentación en el mosto. Su temperatura de fermentación oscila entre 10°C y 40°C con un alto poder de tolerancia al alcohol y bajos requerimientos de nitrógeno.

Caracterizaciones.

En la valoración de la miel se aplicaron los métodos armonizados de análisis de mieles para los parámetros de humedad (Xw, g.100g-1); azúcares reductores (XR fructosa, glucosa y sacarosa) g.100g-1 , acidez me.K-1 total (AT,) lactónica (AL) y libre (AL); Hidroximetil furfural (HMF, mg.K-1 ; color (CIELab y Pfund); actividad de agua (aW) conductividad eléctrica (C.E. mS.cm-1 ); índice de diastasas (ID) y estudio palinológico de verificación del origen floral (Figura 2).

Fermentaciones.

Para el proceso fermentativo se utilizaron reactores de 1000 ml mediante un sistema discontinuo (Batch) a 35°C. Para la preparación de los mostos se usaron mieles monoflorales colombianas de Encenillo (Weinmannia tomentosa L.f.) (EC); Eucalipto (Eucalyptus globulus Labill.) (EU) y Matarratón (Gliricidia sepium (Jacq.) Walp.) (MT), con una concentración inicial de 22° Brix. Los mostos fueron tratados con metabisulfito de sodio a 100 ppm y pasteurizados a 63°C por tres minutos. Se inoculó con Saccharomyces bayanus como microorganismo responsable del proceso fermentativo y se enriqueció con fosfato de amonio monobásico para dar inicio al proceso de fermentación (Figura 3).

Modelo Cinético

La transformación de los azúcares de la miel (glucosa y fructosa) en los mostos usados en la elaboración de hidromieles de Encenillo, Eucalipto y Matarratón, con la trasformación de sólidos solubles, ácidos volátiles y totales, se ajusta a un modelo sigmoidal-Logistico (Ecuación 1).

Ecuación 1. Modelo matemático Sigmoidal Logistic para el comportamiento cinético de los sólidos solubles, °Brix, y acidez total y volátil en la producción de hidromieles monoflorales colombianas.

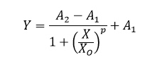
Donde: A1 y A2, corresponden a los valores inicial y final de los parámetros, (Xo) es el valor medio, (X) es el valor del parámetro en el tiempo (t) y (p) es un factor preexponencial propio del modelo. Para el caso de la transformación del etanol y el dióxido de carbono en los mostos de trabajo a partir de mieles monoflorales se ajusta a un modelo sigmoidal-Slogistic1 con interacción logarítmica de Levenberg Marquart (Ecuación 2).

Ecuación 2. Modelo matemático Sigmoidal Slogistic1 para transformación en la cinética de las hidromieles para el etanol y el dióxido de carbono.

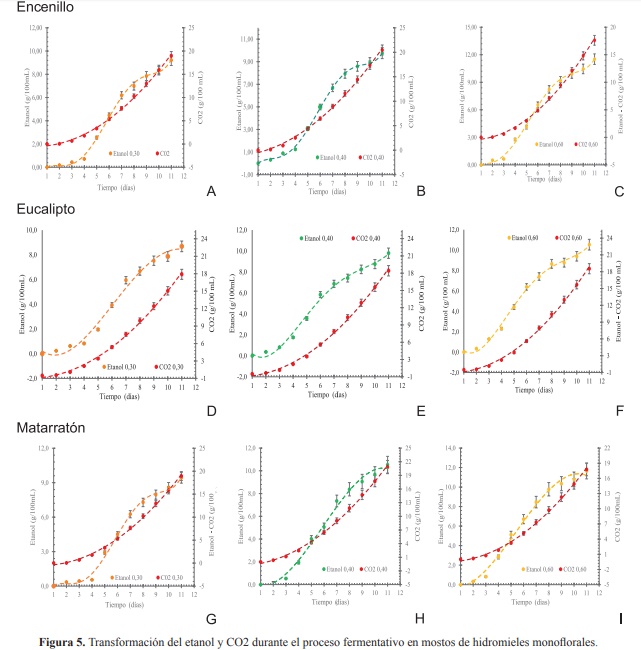
Donde: a: Corresponde a la cantidad de dióxido de carbono acumulado durante el proceso, (Xc ) la cantidad de CO2 producida a la mitad de proceso, (X) es el CO2 producido en cualquier momento del proceso y (k) es un coeficiente propio del modelo. La formación de los metabolitos de la actividad de la levadura (etanol y componentes ácidos), en el medio de la reacción. Adicionalmente, cabe anotar que se presenta en tres fases con leve incremento al inicio del proceso y con un marcado efecto en una fase intermedia y leve descenso al final del proceso (Salinas, 2010; Salamanca & Beltrán, 2015).

Análisis de datos

Para el análisis de la cinética de las muestras de mostos de Encenillo, Eucalipto y Matarratón, los datos se organizaron en un arreglo factorial 3*3*1 completamente al azar (DCA), con tres réplicas para los diferentes tratamientos, siendo los factores la concentración de levadura (0.30; 0.40 y 0.60 g.L-1) y concentración del mosto (22°Brix). La unidad experimental corresponde a un reactor con un volumen de un litro, valorándose 27 unidades.

Los resultados se procesaron estadísticamente mediante un análisis de varianza al 5% de significancia estadística para las variables fisicoquímicas de pH, consumo de sólidos solubles (°Brix), evolución de la acidez total y volátil, transformación de etanol y dióxido de carbono con el software estadístico Statgraphics Centurion XVI versión 16.1.03. De igual manera, para la cinética del proceso de fermentación se utilizó el paquete estadístico OriginPro2016 versión b9.3.226.

RESULTADOS Y DISCUSIóN

Las propiedades de las mieles presentan variabilidad según sea su origen botánico y geográfico. El contenido de humedad de las mieles usadas como materia prima para la elaboración de las hidromieles (Tabla 1), están en el rango 19,7 y 20,7% p/p, siendo mayor en Matarratón, en la de Encenillo es de 20,4. Resultados muy similares a los reportados por en mieles monoflorales. El pH y la acidez total presentan diferencias significativas entre los tratamientos (P <0,05); esto se debe a la presencia de ácidos orgánicos que se convierten en un importante factor antimicrobiano, siendo el ácido glucónico el de mayor concentración.

Proceso fermentativo

La fermentación alcohólica es un proceso anaeróbico realizado por levaduras que transforman los azúcares en etanol y dióxido de carbono (Jackson, 2008). Estas levaduras usadas como cultivo puro iniciador (estárter) requieren un proceso de adaptación que está en función de las características del mosto (pH, sustrato, viscosidad, contenido de oxígeno disuelto y acidez).

En los tratamientos de los mostos de Encenillo a 0.30; 0.40 y 0.60; los pHs y los sólidos solubles evolucionan de acuerdo al consumo del sustrato por parte de las levaduras. El pH se mantiene entre 2.97 ± 0.02 y 3.23 ± 0.02 con una leve caída durante los tres primeros días de la fermentación en cada uno de los tratamientos y estabilizándose al sexto día de la fermentación (Figura 4). Los mostos de Eucalipto presentan en sus pHs un comportamiento similar a las demás muestras. Sin embargo, el proceso inicia con un pH mayor y este evoluciona desde 3.26 ± 0.04 hasta 3.68 ± 0.04 estabilizándose a los nueve días del proceso. Para el caso de los mostos de Matarratón van desde 3.15 ± 0.01 hasta 3.29 ± 0.02 siendo los tratamientos a 0.30 g.L-1 de levadura, los que alcanzaron un mayor valor.

Durante la evolución de los azúcares consumidos durante el proceso fermentativo; los tratamientos T1 (0.30g.L-1) (7.40 ± 0.80) para EC; T1 (0.30g.L-1) (8.90 ± 1.00) para EU y T2 (0.40g.L-1) (7.30 ± 0.13) para MT, fueron los que presentaron un mayor consumo de sólidos durante la cinética. La acidez de la hidromiel está representada en todos los ácidos presentes en la miel. Su valor inicial en las muestras está del orden de (26.62 ± 0.235; 27.53 ± 0.271 y 27.87 ± 0.004 meq.L-1) para MEC; (24.70 ± 0.171; 27.41 ± 0.432 y 25.87 ± 0.309 meq.L-1) para MEU y (23.85 ± 1.173; 27.71 ± 0.085 y 28.83 ± 0.001 meq.L-1) para MMT siendo recurrente con las necesidades del proceso de hidromieles y similares a los reportados por Ojeda de Rodríguez, Sulbarán de Ferrer, Ferrer & Rodríguez, (2004) en el estado de Lara, Venezuela.

En las condiciones del proceso indicadas, en cada uno de los mostos de mieles monoflorales se presenta una graduación alcohólica (°G) entre 8.66 ± 0.14 y 11.6 ± 0.77 °G. La fracción de etanol en los mostos evoluciona con el incremento de levadura, logrando trabajar en un amplio rango de sustratos entre mono-, di-, y oligosacáridos, etanol, acetato, lactatos y glicerol, siendo la glucosa la principal y preferida fuente de carbono, transformándola en etanol mediante su asimilación, alcanzando rendimientos de entre 80% y 90% durante el proceso similar a los trabajados de (Pereira et al., 2009), (Salinas et al., 2010), (Mendes-Ferreira et al., 2010), (Blanco & Quicazan, 2012), (Salamanca & Beltrán, 2015).

La producción de etanol se da en los tres tratamientos y evoluciona hasta 8.81 ± 0.28 para 0.30 g.L-1 de levaduras; 9.50 ± 0.20 con 0.40 g.L-1 y 11.0 ± 0.33 con 0.6 g.L-1 para Encenillo; 8.34 ± 0.22 para 0.30 g.L-1 de levaduras; 9.17 ± 0.34 con 0.40 g.L-1 y 9.85 ± 0.31 con 0.6 g.L-1 para eucalipto y 9.02 ± 0.74 para 0.30 g.L-1 de levaduras; 10.3 ± 0.33 con 0.40 g.L-1 y 11.2 ± 0.33 con 0.6 g.L-1 para Matarratón, evidenciando que las hidromieles con 0.60 g.L-1 de levadura produjeron mayor cantidad de alcohol durante la fermentación, siendo el tratamiento 3 de Matarratón el de mejor rendimiento.

Durante el proceso de fermentación del mosto, se produce una gran cantidad de CO2 que se pierde en las siguientes etapas del proceso. La presencia en el producto final, mejora las percepciones de frescura y acidez, reduce el dulzor, intensifica el amargor y la astringencia y puede ocasionar una sensación punzante para este tipo de bebidas. La producción de CO2 para las hidromieles trabajadas está entre 17.4 ± 0.06 y 20.8 ± 0.17 g.L-1 acumulado durante los 11 días de proceso (Figura 5).

En los procesos fermentativos, la acidez fundamentalmente proviene de la degradación de los azúcares como producto del metabolismo de las levaduras, desde la fosforilación de la glucosa a glucosa-6-fosfato, isomerización a fructosa-6-fosfato y hasta la formación de gliceraldehído que promueve la formación de ácido glicérico hasta ácido pirúvico y la evolución final de etanol y dióxido de carbono a través de la vía de Embden-MeyerhofParnas (EMP). La velocidad en los tres tipos de mostos presenta diferencias significativas entre tratamientos (Pv 0,088 F 33,66) siendo mayor en el tratamiento T2EU en Eucalipto respecto a Encenillo y Matarratón. Entretanto, en la formación de etanol no se perciben diferencias estadísticas significativas, pero en los mostos de Matarratón T3MT la velocidad de producción es de 0,310 î ;± 0,004, que es mayor a la observada en T3EU y T3EC, para eucalipto y Encenillo respectivamente. En relación con la transformación del dióxido de carbono, estadísticamente no presenta diferencias significativas, encontrándose que los tratamientos con miel de Eucalipto TEU presentaron mayor velocidad de cambio frente a los demás tratamientos. Este comportamiento en principio obedece a la naturaleza de las muestras.

Parámetros fisicoquímicos finales

La hidromiel es una bebida alcohólica a base de miel agua y cultivos fermentativos (levadura). (Salinas, 2010). Esta bebida contiene un mínimo de 7 y % de etanol y otros compuestos como azúcares, ácidos, vitaminas y antioxidantes entre otros. Su composición en gran parte, depende del origen biogeográfico de la miel. Pereira, Dias, Andrade, Ramalhosa & Estevinho, (2009). Los contenidos finales de sólidos totales estuvieron entre 9.05 ± 0.071 y 10.50 ± 0.460 para todos los tratamientos siendo muy similares a los reportados por Roldán, Van Muiswinkel, Lasanta, Palacios & Caro (2011). El pH osciló entre 3.22±0.021 y 3.66±0.004, siendo los tratamientos con mieles de Eucalipto los de mayor valor frente a las otras muestras (Tabla 2).

Los parámetros de acidez total y volátil fueron ampliamente evaluados durante la cinética del proceso, donde los mostos de Matarratón tuvieron una mayor cantidad de compuestos ácidos que se alcanzaron al final de la fase exponencial con valores entre 53,3±0,003 y 55,7±0,004. La transformación de los azúcares en etanol estuvo entre 8,68±0,03 y 11,65±0,02, evidenciándose claramente que a mayor cantidad de levadura mejor es el rendimiento del alcohol.

CONCLUSIÓN

Las investigaciones dieron como resultado que a mayor cantidad de microorganismos, mayor es la eficiencia del proceso. Sin embargo, no se puede abusar con la concentración de células durante el inicio de la fermentación, debido a que se generan condiciones desagradables en el producto final asociadas a una alta acidez del hidromiel. El trabajo realizado es una contribución al proceso de diversificación de los productos de las colmenas en Colombia, siendo la hidromiel una bebida alcohólica que se presenta como otra alternativa de utilización de los productos apícolas.

REFERENCIAS

Castro-Vázquez, L., Díaz-Maroto, M. C., González-Viñas, M. a., & Pérez-Coello, M. S. (2009). Diferenciación de miel de cítricos monoflorales de Romero, Eucalipto, Lavanda, Tomillo y miel de Brezo basado en la composición volátil y análisis sensorial descriptivo. Food Chem, 112(4), 1022–1030.http://dx.doi.org/10.1016/j. foodchem.2008.06.036

Jackson, R. S. (2008). Wine science: Principles and applications (3ra ed.).http://dx.doi.org/10.1016/B978-0-12-373646-8.5004-4

Gomes, T. Barradas, C. Dias, T. Morais, J.S. & Ramalhosa, E. (2015). Influence of sweetness and ethanol content on mead acceptability. Pol J Food Nutr Sci, 65(2),137-142. http://dx.doi.org/10.1515/pjfns-2015-0006

Gupta, J. K., & Sharma, R. (2009). Production technology and quality characteristics of mead and fruithoney wines: A review. Natural Product Radiance, 8(4), 345–355

Mendes-Ferreira, a, Cosme, F., Barbosa, C., Falco, V., Inês, A. & Mendes-Faia, A. (2010). Optimización de la miel para la preparación y fermentación alcohólica con Saccharomyces cerevisiae para la producción de aguamiel. Int J Food Microbiol, 144(1), 193–8. http:// dx.doi.org/10.1016/j.ijfoodmicro.2010.09.016

Ojeda de Rodríguez, G., Sulbarán de Ferrer, B., Ferrer, A. & Rodríguez, B. (2004). Caracterización de mieles producidas en Venezuela. Food Chem, 84(4), 499–502. http://dx.doi.org/10.1016/S0308-8146(02)00517-4

Pereira, A.P., Estevinho, L. M. Mendes-Ferreira, A., Oliveira, J. M., & Mendes-Faia, A. (2013). High-celldensity fermentation of Saccharomyces cerevisiae for the optimisation of mead production. Food Microbiol. 33(1), 114-123.doi:10.1016/j.fm.2012.09.006.

Pereira, A. P., Mendes-Ferreira, A., Oliveira, J. M., Estevinho, L. M. & Mendes-Faia, A. (2014). Effect of Saccharomyces cerevisiae cells immobilisation on mead production. LWT - Food Sci Technol, 56(1), 21–30. http://dx.doi.org/10.1016/j.lwt.2013.11.005

Pereira, A. P., Dias, T., Andrade, J., Ramalhosa, E. & Estevinho, L. M. (2009). Mead production: selection and characterization assays of Saccharomyces cerevisiae strains. Food Chem Toxicol, 47(8), 2057-63. http://dx.doi.org/10.1016/j.fct.2009.05.028

Ramalhosa, E., Gomes, T., Pereira, A. P., Dias, T. & Estevinho, L. M. (2011). Mead production tradition versus modernity. Adv Food Nutr Res, 63,101-18.http://dx.doi.org/10.1016/B978-0-12-384927-4.00004-x

Roldán, A., Van Muiswinkel, G. C. J., Lasanta, C., Palacios, V. & Caro, I. (2011). Influencia de la adición de polen en la elaboración aguamiel: Características físicoquímicas y sensoriales. Food Chem, 126(2), 574–582. http://dx.doi.org/10.1016/j.foodchem.2010.11.045

Salamanca, G.G. & Beltrán, O. M. A. (2015). Evaluacion de un proceso de fermentacion acética inducido por kombucha sobre sustrato de glucosa y fructosa. Rev Fac Nal Agr Medellín, 67(2 Supl.), 980-982.

Salinas, M. C.-A. Z.-G. L. A.-M. R. (2010). La hidromiel y el vino, comparación de los aromas producidos durante su envejecimiento. Revista de la Facultad de Educación de Albacete, 17, 281-289.