Respuesta del ají (Capsicum annuum L. Var. Cayena) a concentraciones de N, P, K, Ca y Mg en Palmira, Valle Del Cauca, Colombia

Response of Chili (Capsicum annuum L. Var. Cayena) to concentrations of N, P, K, Ca and Mg in Palmira, Valle del Cauca, Colombia


DOI: http://dx.doi.org/10.23850/24220582.419

Adriana Carolina Martínez Marulanda, María Sara Mejía de Tafur*, Dora Mónica Ibarra Espinosa, Mario Augusto García Dávila y Daniel Gerardo Cayón Salinas

*Universidad Nacional de Colombia sede Palmira, Facultad de Ciencias Agropecuarias.

Autor correspondente: msmejiat@unal.edu.co

Recibido: 12.09.2016 Aceptado: 30.10.2016

Para citar este articulo

Martínez,A., Mejía, M., Ibarra, D., García, M. y Cayón, D. (2016). Respuesta del ají (Capsicum annuum L. Var. Cayena) a concentraciones de N, P, K, Ca y Mg en Palmira, Valle Del Cauca, Colombia. Rev. Colomb. Investig. Agroindustriales, 3(1), 40-48. DOI:http://dx.doi.org/10.23850/24220582.419

RESUMO

En la Universidad Nacional de Colombia, Sede Palmira, se estableció un experimento para determinar los requerimientos nutricionales (N, P, K, Ca y Mg) del ají Capsicum Annuum L., con 16 tratamientos (soluciones nutritivas), cuatro repeticiones, y cinco muestreos a los 20, 40, 70, 100 y 140 días después del trasplante. Los semilleros se establecieron en paneles con arena de río esterilizada, las plántulas fueron regadas con las soluciones nutritivas correspondientes a cada tratamiento y trasplantadas 20 días después de la siembra (dds) a macetas de 6 Kg de capacidad, se empleó arena de cuarzo como sustrato. Se tomó como referencia la solución de Hoagland y Arnon; los demás tratamientos se obtuvieron variando las concentraciones de N, P, K, Ca, y Mg. La concentración alta correspondió a la del testigo más 50% de la misma; la media, el 25% de la concentración alta y la baja, un cuarto de la concentración media. El nivel crítico de los elementos nutritivos se determinó mediante la construcción de curvas de calibración, relacionando la concentración de cada uno de ellos con la producción de biomasa. Se trazó una línea paralela al eje de las X, tomado como referencia el 95% de la biomasa máxima. Los puntos que cortan la curva de respuesta corresponden al nivel crítico o rango de concentración adecuada de cada elemento nutritivo. Los rangos de concentración adecuados en la solución nutritiva para el ají variedad cayena son: N 16,2 - 21,5 mmol.L-1. P 1,1 – 1,4 mmol.L-1, K 4,4 – 8,2 mmol.L-1. No se encontraron los requerimientos para Ca y Mg

Palabras clave: acumulación de biomasa, rendimiento, requerimientos nutricionales.

ABSTRACT

At the UN (Universidad Nacional de Colombia) was established an experiment to determine the nutritional requirements (N, P, K, Ca and Mg) of chili Capsicum annuum L., with 16 treatments, and 4 replications. 5 samples were staggered at 20, 40, 70, 100 and 140 days after transplantation. The seedlings were established in panels with sterile river sand, and watered with nutrient solutions corresponding to each treatment 20 days after planting (dap) were transplanted to 6 Kg capacity pots using quartz sand as substrate. It was taken as reference the Hoagland and Arnon solution; other treatments were obtained by varying the concentrations of each element. The high concentration corresponds to the control plus 50% of it, the mean concentration, 25% of the high concentration and low, a quarter of the mean concentration. The critical nutrients level was determined by the construction of calibration curves relating the concentration of each nutrient with the biomass accumulation. A parallel line to the X axes was drawn taking as reference 95% of the maximum biomass. The points where the response curve is cut by the parallel are the critical level or adequate concentration range for each nutrient. The adequate concentration for the nutrient solution for cayenne pepper is N 16.2 - 21.5 mmol.L-1. P 1.1 – 1.4 mmol.L-1, and K 4.4 – 8.2 mmol.L-1. No requirements were found for Ca and Mg.

Key words: biomass accumulation, nutritional requirements, yields.

INTRODUCCIóN

La productividad y la sanidad de las plantas dependen en gran medida de una adecuada nutrición; de ahí la importancia de estudiar los requerimientos nutricionales de los cultivos en los diferentes ecosistemas. Las plantas, además de C, H y O que conforman el 96% de la biomasa vegetal, toman los demás nutrientes esenciales del suelo a través de las raíces en forma inorgánica y disueltos en agua, para ser utilizados en diferentes procesos bioquímicos y fisiológicos que permiten su adecuado crecimiento y desarrollo.

Los nutrientes esenciales se clasifican según diversos criterios: por su requerimiento, en elementos mayores y menores o micronutrientes; por su forma de absorción en aniones y cationes, o por sus funciones bioquímicas, en elementos que forman los compuestos orgánicos (N y S), nutrientes importantes en el almacenamiento de energía e integridad estructural (P, Si y B), los que permanecen en forma iónica (K, Ca, Mg, Cl, Mn y Na) y los nutrientes implicados en las reacciones REDOX (Fe, Zn, Cu, Ni, Mo). (Taiz, 2010; Ascón Bieto & Talón, 2008; Marschner, 1995)..

El manejo adecuado de la nutrición de un cultivo es importante para lograr mayores rendimientos sin ocasionar contaminación y deterioro ambiental, lo cual se logra mediante la determinación de los requerimientos nutricionales según las condiciones de clima.

El ají, originario de América tropical y subtropical, tiene mucha importancia en la alimentación, ya que su consumo es ampliamente generalizado por sus propiedades nutritivas, condimentarias y medicinales, debido al contenido de dos capsaicinoides (capsaicina y dihidrocapsaicina) (Vallejo & Estrada, 2004).

En el año 2013 se cultivaron en el mundo 1’934.726 ha producción de 31’144.561 t y rendimiento de 16 t.ha-1, siendo China, Turquía e Indonesia los mayores productores. En América fueron cultivadas 233.191 ha, producción de 3’948.382 t con rendimientos de 17,7 t.ha-1, donde México, Argentina y Venezuela ocuparon los primeros lugares. En Colombia, se sembraron 4.000 ha, producción de 29.675 t y rendimiento promedio 7,4 t.ha-1, mucho menor que su potencial productivo (FAO, 2016).

En Colombia, los departamentos que más cultivan ají (2007 – 2011) son, en su orden: Magdalena (30% del área sembrada), Bolívar (23,7%), Valle del Cauca (16,7%), La Guajira (8,9%), Córdoba (8,6%); sin embargo, el de mayor rendimiento es el Valle del Cauca con 16 t/ha, siendo el promedio nacional 8,3t/ha, lo que indica su potencial productivo. (FAO, 2016; MADR, 2011; Programa de Transformación Productiva et. al., 2013).

El ají, como todos los cultivos requiere una adecuada nutrición. Sin embargo, los requerimientos nutricionales para expresar su potencial productivo y alcanzar buena calidad de las cosechas (Medina, 2010). La productividad se alcanza con prácticas de manejo como la escogencia del genotipo adecuado para las condiciones de clima, el manejo de la nutrición y otras prácticas culturales (MADR, 2016). Trabajos realizados por Rodríguez (2010), indican que el ají variedad cayena responde bien a la fertilización edáfica. Sin embargo, es necesario conocer los requerimientos nutricionales de la planta, con el fin de evitar desbalances nutricionales (que conducen a disminuir el rendimiento y la calidad de la cosecha), la contaminación ambiental y el incremento de los costos de producción. (Finck, 1988).

Rodríguez (2009) indica que la relación adecuada de N/ P/ K desde el trasplante hasta 20 días después es de 2N/1P/1K, de los 20 – 55 ddt 3N/1P/2K, de 55 – 85 ddt 2N/3P/2K y de 85 – 147 ddt 1N/1P/4K. Azofeifa et al. (2008), menciona que el ají requiere N, P y K en grandes concentraciones y Ca, Mg, S, Fe, Mn, Zn, B y Cu en cantidades menores. Sin embargo, se hace necesario conocer de manera detallada los requerimientos nutricionales del ají variedad cayena cultivado en condiciones controladas de fertirriego. El objetivo de esta investigación es determinar los requerimientos nutricionales del ají variedad cayena en Palmira, Valle del Cauca, Colombia.

MATERIALES Y MÉTODOS

En las casas de malla de la Universidad Nacional de Colombia, sede Palmira, Valle del Cauca, Colombia (3° 30’ 45,13” latitud Norte y 76° 18’ 30,25” de longitud Oeste, altitud de 994 m.s.n.m. HR 56- 76%, 23,5°C (IDEAM, 2014), se estableció un experimento bajo condiciones controladas de fertirriego, utilizando arena cuarcítica como sustrato y la solución de Hoagland como testigo y como base para modificar las concentraciones de N, P, K, Ca y Mg.

Se utilizaron semillas de ají, variedad cayena purificadas por el Programa de Mejoramiento Genético, Agronomía y Producción de Semillas de Hortalizas de la Universidad Nacional de Colombia, sede Palmira, mediante de varias selecciones (Muñoz, 2009).

Se establecieron semilleros en paneles con arena de río esterilizada, y las plántulas fueron regadas desde el principio con la solución nutritiva correspondiente a cada tratamiento; a los 20 días después de la siembra (dds) se trasplantaron a macetas de 6 Kg de capacidad usando arena de cuarzo como sustrato.

Se utilizó un diseño experimental completamente al azar con 16 tratamientos y cuatro repeticiones, y se hicieron cinco muestreos escalonados según la etapa fenológica del cultivo, a los 20, 40, 70, 100 y 140 ddt (Vallejo & Estrada, 2004).

Los tratamientos fueron definidos a partir de la fórmula establecida por Hoagland & Arnon (1952) para tomate (Marschner 1995; Ascón-Bieto & Talón, 2008), la cual fue tomada como testigo. A partir de ésta se variaron las concentraciones de N, P, K, Ca y Mg. La concentración alta de cada elemento se tomó de la concentración del testigo más el 50% de la misma; la concentración media, el 25% de la concentración alta, y la baja a un cuarto de la concentración media (Varela et al., 2002) (Tabla 1).

La preparación de las soluciones nutritivas se hizo a partir de soluciones madre o concentradas, utilizando sales grado reactivo, y agua destilada. El pH de las soluciones fue ajustado entre 5,5 y 6,5 adicionando ácido clorhídrico (HCl) o hidróxido de sodio (NaOH) según el caso; la conductividad eléctrica se mantuvo a 3 mmhos. cm-1 aproximadamente; para ajustarla se utilizó agua destilada o solución nutritiva según el caso.

En cada muestreo se determinó la acumulación de biomasa en cada órgano de la planta; para ello se separaron las raíces, los tallos, las hojas, las flores y los frutos, los cuales fueron secados a 70ºC hasta un peso constante. El rendimiento se determinó con el peso de los frutos recolectados desde el inicio de la producción 107 ddt, hasta el fin del experimento 140 ddt.

El nivel crítico de N, P, K, Ca y Mg se determinó mediante la construcción de curvas de calibración, relacionando la biomasa total con la concentración de cada uno de los elementos nutritivos, tomando como dato base el 95% de la biomasa total, a partir del cual se trazó una paralela al eje de las X. Los puntos que cortan la curva de respuesta indican el nivel crítico o rango de concentración de cada elemento en la solución nutritiva en condiciones de Palmira, Valle del Cauca, Colombia (Howeler, 1983; Marschner, 1995). Los datos se analizaron con el programa SAS (Statistical Analysis System) versión 9.13. Se hizo el análisis de varianza, ANOVA y la prueba de comparación múltiple de promedios Duncan.

RESULTADOS Y DISCUSIóN

La Figura 1 presenta la curva de crecimiento del ají desde los 20 hasta los 140 días ddt; se observa una curva sigmoidea típica, donde la fase de crecimiento exponencial terminó en 40 ddt, para comenzar la fase lineal e inicio de la floración, etapa en que la planta aumenta el requerimiento de nutrientes para la rápida formación y desarrollo de los órganos. Lo anterior coincide con lo indicado por Vallejo & Estrada (2004), al afirmar que la época crítica del ají se encuentra a los 40 ddt, y que a partir de esta fecha se presenta un crecimiento acelerado, además de coincidir con el inicio de la floración y por tanto mayor requerimiento de agua y nutrientes. A los 140 ddt disminuye la velocidad del crecimiento (Rylski, 1986) pero continúa la formación de flores y frutos de manera alterna.

La acumulación de biomasa a lo largo de ciclo del experimento presentó diferencias significativas por efecto de las dosis de N, P y K, pero no las de Ca y Mg (Figura 2). Concentraciones medias y bajas de N y P y medias de K ocasionaron reducción en la acumulación de biomasa. A los 40 ddt, época que coincide con el inicio de la fase lineal de crecimiento y el inicio de la floración, las plantas comenzaron a responder al incremento en la concentración de N, P y K, lo cual se explica por la aceleración del crecimiento y por ende mayor exigencia de nutrientes para la formación de órganos y tejidos.

A los 20 ddt, las plantas acumularon mayor biomasa con altas concentraciones de N y P, el nivel crítico de deficiencia para el N fue de 20,60 mmol.L-1, y para el P de 1,20 mmol.L-1 (Figura 3, Tabla 2), pero no respondieron al K en la solución nutritiva, y presentaron mayor acumulación de biomasa con bajas concentraciones de Mg y Ca. Esto indica que a esta edad el cultivo crece bien aún con concentraciones bajas de K pero se afecta cuando las concentraciones de Ca y el Mg son altas, lo que permite concluir que hasta 20 ddt las plantas requieren mayor concentración de N y P en la solución nutritiva que las propuestas por Hoagland & Arnon (1952), y que pueden crecer bien a menores concentraciones de K, Ca y Mg.

A 40 ddt (Figura 4, Tabla 2), el rango adecuado para la concentración de N en la solución nutritiva estuvo entre 13,50 - 22 mol.L-1; para el P 0,99- 1,50 mmol.L-1; K, 4,70 – 9,00 mmol.L-1. Las plantas respondieron al incremento en la concentración de K, Ca y Mg, lo cual se debe a la acumulación acelerada de biomasa por el inicio de la fase lineal de crecimiento, la floración y la fructificación.

A los 70 ddt, el rango de concentración adecuado para el N es de 15,7- 20,1 mmol.L-1, para el P entre 0,99 - 1,45 mmol.L-1, para el K entre 4,25 - 7,40 mmol.L-1. Las plantas no respondieron a los diferentes niveles Ca, lo cual indica que pueden tolerar concentraciones altas de este elemento, y responden al incremento de la concentración del Mg en la solución nutritiva, pero con menor significancia; se puede decir entonces que la concentración de Ca y Mg del tratamiento testigo es la adecuada. En época de sequía, se incrementó la demanda de K y Mg, debido posiblemente a la formación y llenado de los frutos (Figura 5, Tabla 2)

La Figura 6 presenta los datos obtenidos 100 ddt. El rango de concentración de N estuvo entre 12,4- 22,6 mmol.L-1, para P de 0,93- 1,50 mmol.L-1, K 3,50- 7,40 mmo.L-1, y no se observa respuesta al incremento de la concentración de Ca. El rango adecuado de Mg estuvo entre 2,90- 5,10 mmol.L-1 (Tabla 3). La mayor respuesta a los niveles de K, Ca y Mg se presenta en la formación de frutos; se observó que las plantas cultivadas en soluciones con baja concentración de estos no alcanzaron un tamaño adecuado, ni buen sabor y color; esto indica la importancia de este elemento en el rendimiento y la calidad de los frutos (Tjalling, 2006).

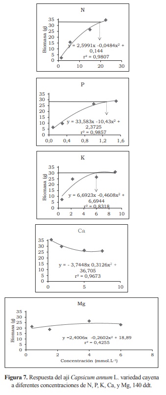
A los 140 ddt el cultivo respondió bien a concentraciones de N mayores de 19,50 mmol.L-1, de P 1,18 mmol.L-1, de K 5,10- 9,0 mmol.L-1. Los datos indican que la planta de ají crece bien aun con bajas concentraciones de Ca en la solución nutritiva ya que se observó menor acumulación de biomasa con el incremento de la concentración de este elemento, las plantas no respondieron a los niveles de Mg. Lo anterior se debe posiblemente al estado reproductivo de la planta, ya que estaría comenzando la segunda floración sin formación de frutos aún.

Los datos de rendimiento indican que los frutos recolectados desde 107 ddt, al inicio de la cosecha hasta 140 ddt, al terminar el ciclo del ensayo, presentaron diferencias altamente significativas entre los tratamientos. El mayor rendimiento se presentó con los tratamientos testigo, Nitrógeno alto, P alto, K alto y medio, Ca alto, medio y bajo y Mg alto. Los rendimientos fueron significativamente menores con N medio, K bajo y Mg medio y bajo (Tabla 3)

La Tabla 2 resume los requerimientos nutricionales del ají Capsicum annuun L. variedad cayena en diferentes etapas del cultivo evaluadas en el presente estudio. Si se comparan los resultados obtenidos para N, P y K se encuentra que estos valores están cerca a los propuestos por Hoagland & Arnon (1952), utilizados como testigo. No se determinaron los requerimientos de Ca y Mg dado que los datos obtenidos presentan variaciones según la edad. En las primeras etapas del cultivo, el ají requiere que la solución nutritiva tenga concentraciones de N y P similares a las del testigo y menores para K, Ca y Mg, pero cuando inicia la floración y fructificación se incrementa el requerimiento de K, Ca y Mg, importantes en la formación y llenado de los frutos. Los datos presentados en la Tabla 3 indican que la mayor producción de frutos se da con el tratamiento testigo y las concentraciones altas de cada elemento.

CONCLUSIÓN

Las concentraciones indicadas por Hoagland & Arnon (1952), son adecuadas para el cultivo del ají variedad cayena, pero incrementos en la concentración de K al momento de floración y llenado de los frutos, resulta beneficioso para el rendimiento del cultivo de ají.

REFERENCIAS

Azcón Bieto, J. & Talón, M. (2008). Fundamentos de Fisiología Vegetal, Interamericana. Madrid: McGrawHill (Eds.). Segunda edición. p 651.

Azofeifa, A. & Moreira, M.A. (2008). Absorción y distribución de nutrimentos en plantas de chile jalapeño (Capsicum annuum l. cv. hot) en Alajuela, Costa Rica. Agronomía Costarricense 32(1), 19-29.

FAO. (2016). FAOSTAT. Statistics Division. http://faostat3.fao.org/home/E.

FINCK, A. (1988). Fertilizantes y fertilización. Editorial Reverte. Costa Rica. p. 432.

Howeler, R.H. (1983). Análisis de tejido vegetal en el diagnóstico de problemas nutricionales: Algunos cultivos tropicales. Cali. CIAT. p. 28.

IDEAM (2014). Instituto de Hidrología, Meteorología y Estudios Ambientales. http://institucional.ideam.gov.co/ JSP/1772.

MADR. Ministerio de Agricultura y desarrollo Rural. (2016). Agronet. Indicadores DTF. MinAgricultura. http://www.agronet.gov.co/estadistica/Paginas/Indicadores.aspx

MADR. Ministerio de Agricultura y desarrollo Rural. (2011). Anuario de Frutas y Hortalizas. http://es.slideshare.net/tizabeth/anuario-estadistico-de-frutasy-hortalizas-2011.

Marschner, H. (1995). Mineral nutrition of higher plants. Second Edition. Academic Press (Eds.). San Diego. p.889.

Muñoz, E. (2009). Ají más productivo. Unimedios. Universidad Nacional de Colombia (Eds.) http://www.agenciadenoticias.unal.edu.co/detalle/article/aji-masproductivo.html

Medina, N., Borges, G.J. & Soria, F.L. (2010). Composición nutrimental de biomasa y tejidos conductores en chile habanero (Capsicum chinense Jacq.). Tropical and Subtropical Agroecosystems, 12(2), 219-228.

Programa de Transformación Productiva, Asohofrucol & Fondo Nacional de Fomento Hortícola. (2013). Plan de Negociación de Ají. Banco de Comercio Exterior de Colombia S. A. (CO) https://www.ptp.com.co/documentos/PLAN%20DE%20NEGOCIO%20AJ%C3%8D%20diciembre.pdf

Rodríguez, E. (2009). Efecto de la fertilización química, orgánica y biofertilización sobre la nutrición y rendimiento de ají (Capsicum spp.) Universidad Nacional de Colombia, Palmira. p. 149.

Rodríguez Araújo, E. Bolaños, M.M. & Menjivar Flores, J. C. (2010). Efecto de la fertilización en la nutrición y rendimiento de ají (Capsicum spp.) en el Valle del Cauca, Colombia. Acta Agron. 59 (1). 55-64.

Rylski, I. (1986). Pepper (Capsicum annuum). In: Handbook of fruit set and development. (pp. 341-353), CRC. UK.

Taiz, L. & Zeiger, E. (2010). Plant Physiology. Fifth edition. Sinauer Associates Inc., Publishers Sunderland, Massachusetts U.S.A. p.782.

Tjalling, H. (2006). Guía de manejo nutrición vegetal de especialidad tomate. SQM S.A. p. 84.

Vallejo Cabrera, F. A. & Estrada Salazar, E. I. (2004). Producción de hortalizas de clima cálido. Universidad Nacional de Colombia. p.345.

Varela, J.C., Velásquez, J.C. & Mejía de Tafur, M.S. (2002). Respuesta fisiológica del lulo Solanum quitoense Lam. a diferentes concentraciones de N, P, K, Ca y Mg en la solución nutritiva. Acta Agron, 51(1-2), 53-59.